測井小管徑井水流量計T型磁芯的設計應用
點擊次數:2917 發布時間:2021-09-08 00:54:17
摘要:針對生產測井狹小空間測量環境下,提出有一種勵磁結構為T型磁芯的集流型井水流量計,運用有限元軟件ANSYS對這種T型磁芯建立磁場仿真模型,并對不同T型磁芯形狀參數下流量計測量區域的磁場進行仿真分析,研究了井水流量計勵磁結構中T型不同參數磁芯對流量計磁場的影響特性。研究結果可為生產測井小管徑井水流量計T型磁芯的設計應用提供參考依據。
1 引言
近年來,井水流量計的勵磁結構況備受研究人員的關注。金寧德等人對外流式的井水流量計的磁場分布情況進行了仿真研究,趙琛、李斌等人對流量計鞍狀勵磁線圈磁場分布的計算方法進行研究,鄔惠峰等人運用ANSYS對井水流量計進行建模研究。王月明對電磁測量計的勵磁結構進行建模并開展研究,杜勝雪、孔令富等人對井水流量計矩形與鞍狀線圈磁場的數值仿真以期獲得較好的勵磁方法,張昊等人對井水流量計勵磁線圈進行了優化,徐立軍等人對多電極井水流量計勵磁線圈的進行了優化與設計,張小章對井水流量計磁場也進行了設計與研究。在一些特殊的工況領域下,如何設計井水流量計一直是工程技術人員研究的熱點問題,生產測井中特殊工況環境下如何設計井水流量計傳感器結構一直是石油生產測井領域研究的問題,王月明等人提出了電磁相關法流量測量傳感器解決了生產測井中油氣水三相流流量測量問題。另一方面生產測井空間狹小,需要構造特殊的井水流量計傳感器,本文提出了一種勵磁結構的磁芯設計為T型的井水流量計,使得有限的空間下井水流量計的勵磁線圈空間增大,進而增強測量管道中(測量區域)磁場強度,使兩端電極感應信號變大,有助于信號的獲取,為有限空間下的井下小管徑集流式井水流量計實現提供可能。同時,對井水流量計勵磁結構中T型磁芯參數進行研究,獲得不同T型磁芯對測量管道中磁場產生的影響。研究結果可為應用在一些特殊場合中具有T型磁芯的井水流量計實現提供參考依據。
1、T型磁芯結構
T型磁芯是為較小的空間下實現盡可能大的勵磁線圈而提出的,如圖1所示為較小空間結構下,設計有T型磁芯的井水流量計傳感器截面圖。在圖中1表示線圈位置;2表示磁芯位置;3表示電極及其固定器件位置;4表示襯里位置;5表示內徑壁位置;6表示外徑壁;7表示測量管道(測量區域)。如圖1所示井水流量計勵磁結構磁芯造型近似為T型(因稱為T型磁芯),磁芯在靠近井水流量計內管道時為T型磁芯的較長端。如圖中所示,T型磁芯較長端與x軸夾角為a,T型磁芯較短端與x軸夾角為b,T型磁芯較長端寬度為k1,T型磁芯較短端寬度為k2。
1 引言
近年來,井水流量計的勵磁結構況備受研究人員的關注。金寧德等人對外流式的井水流量計的磁場分布情況進行了仿真研究,趙琛、李斌等人對流量計鞍狀勵磁線圈磁場分布的計算方法進行研究,鄔惠峰等人運用ANSYS對井水流量計進行建模研究。王月明對電磁測量計的勵磁結構進行建模并開展研究,杜勝雪、孔令富等人對井水流量計矩形與鞍狀線圈磁場的數值仿真以期獲得較好的勵磁方法,張昊等人對井水流量計勵磁線圈進行了優化,徐立軍等人對多電極井水流量計勵磁線圈的進行了優化與設計,張小章對井水流量計磁場也進行了設計與研究。在一些特殊的工況領域下,如何設計井水流量計一直是工程技術人員研究的熱點問題,生產測井中特殊工況環境下如何設計井水流量計傳感器結構一直是石油生產測井領域研究的問題,王月明等人提出了電磁相關法流量測量傳感器解決了生產測井中油氣水三相流流量測量問題。另一方面生產測井空間狹小,需要構造特殊的井水流量計傳感器,本文提出了一種勵磁結構的磁芯設計為T型的井水流量計,使得有限的空間下井水流量計的勵磁線圈空間增大,進而增強測量管道中(測量區域)磁場強度,使兩端電極感應信號變大,有助于信號的獲取,為有限空間下的井下小管徑集流式井水流量計實現提供可能。同時,對井水流量計勵磁結構中T型磁芯參數進行研究,獲得不同T型磁芯對測量管道中磁場產生的影響。研究結果可為應用在一些特殊場合中具有T型磁芯的井水流量計實現提供參考依據。
1、T型磁芯結構
T型磁芯是為較小的空間下實現盡可能大的勵磁線圈而提出的,如圖1所示為較小空間結構下,設計有T型磁芯的井水流量計傳感器截面圖。在圖中1表示線圈位置;2表示磁芯位置;3表示電極及其固定器件位置;4表示襯里位置;5表示內徑壁位置;6表示外徑壁;7表示測量管道(測量區域)。如圖1所示井水流量計勵磁結構磁芯造型近似為T型(因稱為T型磁芯),磁芯在靠近井水流量計內管道時為T型磁芯的較長端。如圖中所示,T型磁芯較長端與x軸夾角為a,T型磁芯較短端與x軸夾角為b,T型磁芯較長端寬度為k1,T型磁芯較短端寬度為k2。

2、磁場評價指標
為了詳細的獲得井水流量計勵磁線圈及T型磁芯變化對流量計測量區域內部磁場強度分布的影響情況,引入樣本平均值、樣本標準差、變異系數、磁場均勻度、感應電勢值等磁場評價指標分析傳感器勵磁線圈不同軸向長度時測量區域內部磁場分布情況,如式(1)所示。式中,B為樣本平均值;B s為樣本標準差;B cv為樣本磁場均勻度;B c為樣本變異系數。在這4個磁場評價指標中,樣本平均值越大越好,樣本標準差越小越好,磁場均勻度越大越好,變異系數越小越好。
為了詳細的獲得井水流量計勵磁線圈及T型磁芯變化對流量計測量區域內部磁場強度分布的影響情況,引入樣本平均值、樣本標準差、變異系數、磁場均勻度、感應電勢值等磁場評價指標分析傳感器勵磁線圈不同軸向長度時測量區域內部磁場分布情況,如式(1)所示。式中,B為樣本平均值;B s為樣本標準差;B cv為樣本磁場均勻度;B c為樣本變異系數。在這4個磁場評價指標中,樣本平均值越大越好,樣本標準差越小越好,磁場均勻度越大越好,變異系數越小越好。

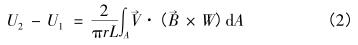
式中,S均勻為測量區域任意一點磁感應強度與珔B之比在95%至105%的面積和,S測量區域為測量區域的總面積。由Maxwell方程及在一定的假設條件下,可得井水流量計的感應電勢的表達方程,如式(2)所示:

式中,U2-U1是兩電極的電勢差;A表示對所有空間積分;L為絕緣管道筒長一半;r為流量計截面管半徑;矢量珗B是導電流體的流速;B是磁感應強度;W為矢量權重函數,它是一個只由井水流量計本身結構決定的量。由(2)式可知,只要確定了流體的流速V、磁感應強度B、以及權重函數W,以及流量計管徑半徑,就可以求流量計的感應電勢差。
3、仿真實驗
仿真實驗中,設定a分別為23°,30°,35°,40°,45°,50°,設定b小于等于a,根據實際情況設定角度分別為8°,16°,23°,30°,35°,40°,45°,50°。仿真實驗中設定T型磁芯較長端寬度為k1占T型磁芯整個寬度的1/3,1/2以及2/3時(即k1/(k1+k2) 為1/3,1/2 以及2/3時的情況)分別考查不同參數情況下T型磁芯構建的勵磁結構對井水流量計測量區域中產生的磁場影響情況。
3、仿真實驗
仿真實驗中,設定a分別為23°,30°,35°,40°,45°,50°,設定b小于等于a,根據實際情況設定角度分別為8°,16°,23°,30°,35°,40°,45°,50°。仿真實驗中設定T型磁芯較長端寬度為k1占T型磁芯整個寬度的1/3,1/2以及2/3時(即k1/(k1+k2) 為1/3,1/2 以及2/3時的情況)分別考查不同參數情況下T型磁芯構建的勵磁結構對井水流量計測量區域中產生的磁場影響情況。

如圖2所示為不同T型磁芯結構在井水流量計測量區域產生磁場強度分布仿真圖。由于篇幅原因,這里只顯示了k1/(k1 + k2)為1/2,b 為23°的仿真圖。圖2(a),(b),(c),(d)分別顯示的是a為23°,30°,40°,50°時井水流量計測量區域截面磁場仿真圖,從仿真圖中可以發現當磁芯所占空間減小,勵磁線圈空間增大時,流量計內部測量區域中的磁場強度總體上有所增加。在仿真實驗中,將所得的仿真數據保存,對其運用磁場評價指標進行下一步的數據分析。
4、實驗數據分析
為了考察不同T型磁芯結構對井水流量計測量區域磁場強度的分布情況影響,仿真實驗中獲得的數據結果運用公式(1)井水流量計磁場強度分布評價指標進行分析,以獲得井水流量計不同T型磁芯結構參數對流量計測量區域的磁場強度分布影響,從而為井水流量計T型磁芯結構設計給出指導性的意見。
4、實驗數據分析
為了考察不同T型磁芯結構對井水流量計測量區域磁場強度的分布情況影響,仿真實驗中獲得的數據結果運用公式(1)井水流量計磁場強度分布評價指標進行分析,以獲得井水流量計不同T型磁芯結構參數對流量計測量區域的磁場強度分布影響,從而為井水流量計T型磁芯結構設計給出指導性的意見。

如圖3所示為不同T型磁芯結構下測量區域產生磁場感應強度平均值,圖中橫坐標為T型磁芯b的角度,縱坐標為測量區域的平均磁場強度,圖標表示的是T型磁芯的不同a的角度以及磁芯長端寬度所占的比例。其中以“角度-比例”表示,例如30-1/2表示T型磁芯的較長端角度a為30°,k1/(k1+k2)為1/2時的測量區域中平均磁場強度測量結果。圖標Other為T型磁芯較長端的角度a與較短端的角度b相等(即為23,30,35,40,45,50)時的流量計測量區域中的平均磁場強度。從仿真結果可以看出:T型磁芯的較長端的角度a越小,流量計測量區域中平均磁場強度越大;在T型磁芯的較長端的角度a一定時,T型磁芯的較短端的角度b越小,流量計測量區域中平均磁場強度越大;在T型磁芯的較長端的角度a與較短端的角度b一定時,T型磁芯的k1/(k1 + k2)越小,在流量計測量區域中平均磁場強度越大。

如圖4所示為不同T型磁芯結構下測量區域產生磁場感應強度標準差,圖中橫坐標為T型磁芯b的角度,縱坐標為測量區域磁場強度的標準差,圖標圖例與圖3中一致。從仿真結果可以看出:T型磁芯的較長端的角度a越小,流量計測量區域中磁場強度標準差越大;在T型磁芯的較長端的角度a一定時,T型磁芯的較短端的角度b越小,流量計測量區域中磁場強度標準差越大;在T型磁芯的較長端的角度a與較短端的角度b一定時,T型磁芯的k1/(k1 + k2)越小,在流量計測量區域中磁場強度標準差越大。

標準差代表磁場測量區域的磁場分布波動性較大,因而需引入變異系數對測量區域中的磁場分布情況進一步分析。如圖5所示為不同T型磁芯結構下測量區域磁場感應強度變異系數,圖中橫坐標為T型磁芯b的角度,縱坐標為測量區域磁場強度分布的變異系數,圖標圖例與圖3中一致。從仿真結果可以看出:T型磁芯的較長端的角度a越小,流量計測量區域中磁場強度變異系數越大;在T型磁芯的較長端的角度a一定時,T型磁芯的較短端的角度b越小,流量計測量區域中磁場強度變異系數越大;在T型磁芯的較長端的角度a與較短端的角度b一定時,T型磁芯的k1/(k1 + k2)越小,在流量計測量區域中磁場強度變異系數越大。異系數越大說明磁場分布越不均勻,波動性越大;異系數越小說明磁場分布趨向均勻。下面通過計算測量區域中的磁場均勻區域來對這一結果進一步的分析。
如圖6所示為不同T型磁芯結構下測量區域磁場感應強度均勻區域面積,圖中橫坐標為T型磁芯b的角度,縱坐標為測量區域磁場強度分布的均勻區域面積,圖標圖例與圖3中一致。從仿真結果可以看出:T型磁芯的較長端的角度a為越小,流量計測量區域中磁場強度均勻區域面積越大;在T型磁芯的較長端的角度a一定時,T型磁芯的較短端的角度b越小,流量計測量區域中磁場強度均勻區域面積越大;在T型磁芯的較長端的角度a與較短端的角度b一定時,T型磁芯的k1/(k1 + k2)越小,在流量計測量區域中磁場強度均勻區域面積越大。

上面對不同T型磁芯結構對流量計測量區域內部磁場分布影響進行了研究,下面通過電極兩端感應信號如公式(2)對井水流量計T型磁芯結構對流量計測量結果的影響進行研究。如圖7所示為不同T型磁芯結構下井水流量計感應信號。圖中橫坐標為T型磁芯b的角度,縱坐標為井水流量計獲取的感應信號(電勢差),圖標表示的是T型磁芯的不同a的角度,仿真中k1/(k1 + k2)為1/2。仿真實驗中虛線為仿真流體為湍流情況下獲取的感應電勢差,實線為流體為層流情況下獲取的感應電勢差。
從仿真結果可以看出:T型磁芯的較長端的角度a越小,流量計電極兩端獲得的感應信號越大;在T型磁芯的較長端的角度a一定時,T型磁芯的較短端的角度b越小,流量計電極兩端獲得的感應信號越大。這主要是因為井水流量計勵磁線圈的增加,使得流量計測量區域的磁場強度增加,同樣分布的流速下使得流量計電極兩端的感應信號增加。
從仿真結果可以看出:T型磁芯的較長端的角度a越小,流量計電極兩端獲得的感應信號越大;在T型磁芯的較長端的角度a一定時,T型磁芯的較短端的角度b越小,流量計電極兩端獲得的感應信號越大。這主要是因為井水流量計勵磁線圈的增加,使得流量計測量區域的磁場強度增加,同樣分布的流速下使得流量計電極兩端的感應信號增加。

仿真實驗證明在有限的空間下,修改T磁芯的不同參數,可以增加流量計測量區域內部的磁場分布情況,也可以適當的調整流量計測量區域中的磁場強度與均勻度,根據生產測井中的實際工況,改變井水流量計的T磁芯參數獲得設計參數。
5、結論
井下集流型井水流量計在油氣井測量方面有廣泛的應用前景,針對生產測井特殊工況下提出具有T型磁芯的勵磁結構的集流式井水流量計,利用有限元軟件ANSYS建立了該種T型磁芯結構井水流量計的磁場分布計算機仿真模型,并通過各種性能指標的分析,獲得該T型磁芯結構參數設計指標與流量計測量區域中磁場分布關系,為擁有T型磁芯結構的勵磁結構的實現提供參考依據。
5、結論
井下集流型井水流量計在油氣井測量方面有廣泛的應用前景,針對生產測井特殊工況下提出具有T型磁芯的勵磁結構的集流式井水流量計,利用有限元軟件ANSYS建立了該種T型磁芯結構井水流量計的磁場分布計算機仿真模型,并通過各種性能指標的分析,獲得該T型磁芯結構參數設計指標與流量計測量區域中磁場分布關系,為擁有T型磁芯結構的勵磁結構的實現提供參考依據。


